ご飯は伸びないのになぜ?お餅が「ビヨーン」と伸びる科学的な理由
サイエンストレーナーの桑子研です。毎日が実験。
お正月にお雑煮や焼き餅を食べていて、ビヨーンと伸びるお餅を見て「なぜ普段食べるご飯(白米)は伸びないのに、お餅はこんなに伸びるのだろう?」と疑問に思ったことはありませんか?同じ「お米」なのに、食感はまるで別物。実は、あのお餅特有の粘り気と伸びには、お米に含まれる「デンプン」の種類と構造に、驚くべき科学的な秘密が隠されています。今回は理科教師の視点で、そのミクロの世界をわかりやすく解説します。

そもそも「お米」の種類が違う
私たちが普段食べているご飯(うるち米)と、お餅になるお米(もち米)は、見た目は似ていますが成分が少し異なります。どちらも主成分は炭水化物(デンプン)ですが、その中身の比率が決定的な違いを生んでいます。デンプンには大きく分けて2つの種類があります。
アミロース(wiki):硬くなりやすく、粘りが少ない。
アミロペクチン(wiki):粘り気が強く、水分を含むとモチモチする。
いつものご飯(うるち米):アミロースが約20%、アミロペクチンが約80%。
お餅(もち米):アミロペクチンがほぼ100%!
つまり、お餅はアミロースを含まない、純度100%の「粘り成分の塊」のようなものなのです。
参考資料:wiki もち米
ミクロの視点:「枝分かれ」構造が絡まり合う
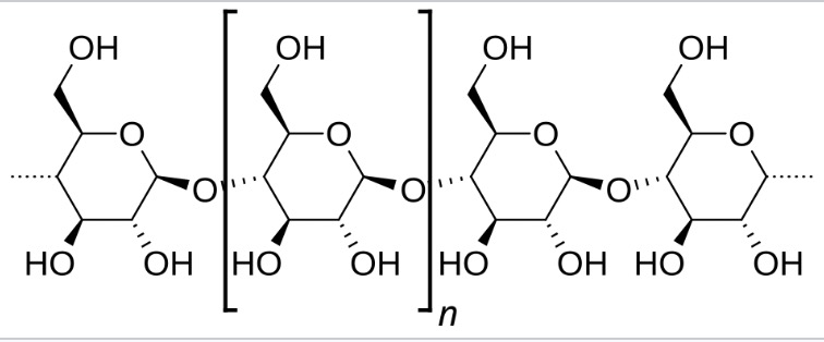
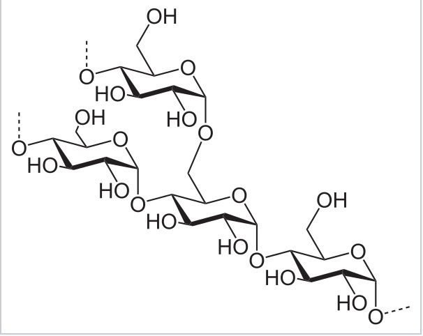
では、なぜ「アミロペクチン」が多いと伸びるのでしょうか? それは分子の「形」に理由があります。アミロース(ご飯に多い): 一本の鎖(くさり)のような形をしています。単純な構造なので、分子同士があまり絡まり合いません。だから、ご飯は粒が立っていて、あっさりとした食感になります。

画像引用:wikiより
アミロペクチン(お餅に多い): たくさんの枝分かれを持った、複雑な形をしています。植物の根っこや、ポケットの中で絡まったイヤホンのコードを想像してください。あのように複雑な形状をしています。

画像引用:wikiより
お餅をつく工程で、この複雑な「アミロペクチン」同士が複雑に絡み合います。 引っ張ると、絡まった分子同士がほどけまいとして抵抗しますが、完全に固まっているわけではないので、ズルズルと滑りながらついてきます。これが「ビヨーン」と伸びる正体です。「絡み合っているけれど、固定はされていない」という絶妙な状態が、あの独特の伸縮性を生み出しているのです。
「熱」と「物理的な衝撃」の役割
ただ「もち米」があるだけでは伸びません。ここには調理科学のポイントである「蒸す(熱)」ことと「つく(衝撃)」ことが不可欠です。
糊化(こか): デンプンは水を加えて加熱すると、構造が緩んで柔らかくなります。これを「糊化」と言います。この状態にならないと、アミロペクチンは自由に動けません。
細胞破壊: お米の粒のままだと、デンプンは細胞壁の中に閉じ込められています。「ぺったん、ぺったん」と杵でつくことで、お米の細胞壁を破壊し、中からアミロペクチンを外に出して、強制的に練り合わせているのです。ご飯を箸で練ってもお餅にならないのは、この細胞破壊が十分ではないからなんですね。
お餅が伸びる理由を科学的にまとめると、以下のようになります。
・もち米は、粘りのもとであるアミロペクチンが100%である。
・アミロペクチンは枝分かれ構造をしており、加熱されると分子同士が複雑に絡み合う。
・絡み合った分子が、引っ張られる力に対して滑りながら粘るため、長く伸びる。
今度お餅を食べる時は、「この白い塊の中で、無数の分子が手をつないで絡み合っているんだな」と想像しながら食べてみてください。
実験:一体お餅は一体どれくらい伸びるのか?

お餅は冷えるとアミロペクチンが再結晶化して固くなります。長く伸ばすためには、次の3つがポイントです。
1 スピード
つきたての熱々のうちにスタートします。
2 乾燥厳禁
表面が乾くとそこから亀裂が入ります。手水をしっかり使い、場合によっては霧吹きなどで湿度を保つ工夫も有効です。
3 ゆっくり引く
お餅のような物体には「粘弾性」という性質があります。これは、「速く引っ張ると固体のように振る舞い(切れる)、ゆっくり引っ張ると液体のように振る舞う(伸びる)」という性質です。勢いよく「エイッ!」と引くのはNGです。アミロペクチンの分子が絡まりをほどきながら移動する時間をあげるイメージで、じわじわと、一定の速度で引っ張り続けてください。
科学部で挑戦してみました。
まずお餅を煮ました。袋によると熱湯で3分くらい。

煮ている様子。

10分間叩いて、コネ続けました。

みんなで分担。

疲れてきたけど必死でやります。

粘りがかなり出てきました。水で手を濡らして、これを塊ごと持ち上げて、半分にして、二人で中心から伸ばしていきました。コツは右手にお餅を持って左手で4cmくらい伸ばしてはつけて、伸ばしてはつけてを繰り返します。乾燥してきたら手に水をつけながら、伸ばしていきました。



長く持っていると固まってくるので、手際よく伸ばしていくことがポイントです。何回か挑戦しましたが、なんと2m50cmまで伸ばすことができました。

細く伸びた部分のお餅は3cmくらい、これを計りで計測すると0.04gとなります。

元々の重さは、51.67gです。

ここから理想的にうまくこの細さにお餅を全部できたら、51.67g/0.04g×2.5cm=3,229.375 cm =32mとなります。これは理想的な計算です。もしお餅を棒などで丸めて伸ばすことが許されるなら、できうる記録なのかもしれません。
なお、お餅に砂糖を入れてこねるとさらに伸びると聞いたことがあり、やってみたのですが混ぜないほうが良い感じでした。何か砂糖に条件があるのかどうか。また今回は市販の切り餅を使ったので、実際にこねた本物のお餅を使えば、さらによく伸びる可能性があると考えられます。
お餅が網にくっついて取れない問題への対処法
お餅を食べるときに、トースターの網にガッチリと張り付いてしまい、カピカピになったお餅を落とすために網を水につけ置きして、ゴシゴシ洗うという大変な作業に追われました。あれは本当に心が折れますよね。しかしそんな悲劇を回避するための秘密兵器があります。「はりつかないアルミホイル『クックパー』」です。


科学の力で「ペロッ」と剥がれる快感!
実際にトースターの網の上にこのホイルを敷き、その上にお餅をのせて焼いてみました。すると……その名の通り!!

ペロッと剥がれた!
全く張り付きません! お餅がまるでスケートリンクの上にいるかのように、スルッと持ち上がりました。これはすごいです。感動的ですらあります。でも、一体どんな仕組みでできているのでしょうか? 理科教師としての探究心に火がつきました。早速調べてみたところ、この「クックパー」の表面にはある秘密がありました。
秘密は「シリコーン樹脂」のコーティング
公式サイトによると、アルミホイルの表面にシリコーン樹脂をコーティングしてあるのだそうです。
シリコーンといえば、キッチン用品やシャンプーなどでもよく耳にする素材ですね。調べてみると、耐熱性に優れた素材であり、水を弾く(撥水性)性質や、ものがくっつきにくい(非粘着性)性質を持っていることがわかります。
でも、ミクロの視点で見ると、シリコーンの表面ってどうなっているのでしょうか?実は、シリコーンの分子は、外側に向かってメチル基という小さな突起のような構造(CH3)が並んでいます。このメチル基が他の物質が近づいてきても「おっと、来ないで!」と弾き返すような働きをしているのです。まるで、表面に見えない「分子のバリア」が張られているようなイメージですね。
今回はお餅の科学について色々と考察してみました。
お問い合わせ・ご依頼について
科学の不思議やおもしろさをもっと身近に!自宅でできる楽しい科学実験や、そのコツをわかりやすくまとめています。いろいろ検索してみてください!
・科学のネタ帳の内容が本になりました。詳しくはこちら
・運営者の桑子研についてはこちら
・各種ご依頼(執筆・講演・実験教室・TV監修・出演など)はこちら
・記事の更新情報はXで配信中!
科学のネタチャンネルでは実験動画を配信中!
5月のイチオシ実験!
キーンと冷えるドライアイス!気温が上がってくるこの時期・ドライアイスを使った昇華・凝結・等速度直線運動の実験はいかが?

液体ゼロ!ドライアイスが消えるまでの3時間を科学する(昇華・凝結・等速度直線運動)
テレビ番組監修・イベント等のお知らせ
- 4月30日(木)「THE突破ファイル」(日本テレビ)の科学監修を担当しました。
- 5月8日(金)理科教育ニュースを担当しました。
- 6月14日(日) 千葉大学インスタレーション「探究」にて講師を務めます
- 6月26日(金) 千葉大学の公開研究会(中学理科について授業公開予定)
- 7月18日(土) 教員向け実験講習会「ナリカカサイエンスアカデミー」の講師をします。お会いしましょう。
書籍のお知らせ
- 『大人のための高校物理復習帳』(講談社)…一般向けに日常の物理について公式を元に紐解きました。特設サイトでは実験を多数紹介しています。※増刷がかかり6刷となりました(2026/02/01)

- 『きめる!共通テスト 物理基礎 改訂版』(学研)… 高校物理の参考書です。イラストを多くしてイメージが持てるように描きました。授業についていけない、物理が苦手、そんな生徒におすすめです。特設サイトはこちら。

各種SNS(更新情報をお届け!)
X(Twitter)/instagram/Facebook(日本語)
Explore
- 楽しい実験…お子さんと一緒に夢中になれるイチオシの科学実験を多数紹介しています。また、高校物理の理解を深めるための動画教材も用意しました。
- 理科の教材… 理科教師をバックアップ!授業の質を高め、準備を効率化するための選りすぐりの教材を紹介しています。
- Youtube…科学実験等の動画を配信しています。
- 科学ラジオ …科学トピックをほぼ毎日配信中!AI技術を駆使して作成した「耳で楽しむ科学」をお届けします。
- 講演 …全国各地で実験講習会・サイエンスショー等を行っています。
- About …「科学のネタ帳」のコンセプトや、運営者である桑子研のプロフィール・想いをまとめています。
- お問い合わせ …実験教室のご依頼、執筆・講演の相談、科学監修等はこちらのフォームからお寄せください。


